
元气骑士赛季迎来重大机制更新,分数获取与奖励系统全面调整。新机制下,时间得分与亲卫招募分数大幅提升,赛季币与蓝币收益显著增加,刷分效率大幅优化。本文将详细解析各得分途径与奖励换算公式,助你高效冲榜!
2024/2/2----------------------------
新增积分奖励制度,提升用户活跃度。
更新分数结算机制,调整时间得分与招募亲卫规则。
明天再测血量和金币吧,怎么变成概率掉落了,真让人头大。
赛季币收益提升30%,蓝币收益提升46%(赛季币满收益情况下)。再加上时间分数结算机制调整以及新增招募亲卫分数机制,整体刷分效率显著提高,确实带来了不错的提升,凉屋这次做得不错。
爪黄飞电手感不佳,目前我改用大象和孟获速刷,尤其是孟获,四个词条中有三个存在bug,希望可以尽快修复。
------------------------------------
2024/2/1----------------------------
朋友,你全改了啊,这也太彻底了吧。
这两天我会加班加点把修改后的数据计算出来。
------------------------------------
本文内容非解包所得,数据仅供参考,请理性看待。
如有错误,欢迎指正,我会及时修正。
目前本帖仅完成了数据处理工作,这些数据的具体用途我也不清楚,咳咳。
分数通过完成任务、参与活动及互动获得,具体规则详见活动说明。
结算分数的各个构成部分

通过非严格测试,分析了各部分得分机制。
击败敌人:每击败一个敌人,得分翻倍。
普通小兵、精英小兵、精英将领和首领均计入敌兵单位,每种各计一个。
目前尚未发现存在上限。
击败精英敌人,每个获得15分。
只有精英小兵和精英将领计入统计。
目前尚未发现存在上限
击败首领:每次胜利获得500分奖励。
仅首领参与计数
2.上限1500(目前)
获取金币:数量 × 1
初始的10金币不计入统计。
消耗金币不会影响统计数量。
各单位击杀收益详见第三部分
攻占据点得分:据点数量乘以10
各类据点详情请参见第三部分(统计中)
获取配件数量乘以10。
同一配件多次拾取只计数一次。
拾取后丢弃的配件仍计入统计。
拆卸武器配件同样计入数量,重新装填后仍有效。
未知因素可能导致计数遗漏
获取武器数量乘以20计算得分。
单件武器仅首次拾取计数,重复拾取不累计。
拾取后丢弃的武器仍计入统计。
初始武器计入统计
未知因素可能导致计数出现偏差
招募亲卫所需声望:良150,名200,神250。
只与携带亲卫特质相关
击败最终BOSS后效果生效,否则无效。
生存得分:1000减去一个与受击次数相关的特殊数列结果。
击败最终Boss后效果生效,否则无效。
敌方攻击与陷阱伤害均计入受击次数。
无伤通关可获得1000分。
时间得分计算方式为:1939减去2倍的总用时(单位为秒)。
击败最终Boss后效果生效,否则无效。
取消上限,关卡开始后每0.5秒扣1分,总分1940,扣完为止。
该公式存在±1的误差,可能是游戏计时器未进行四舍五入所致,具体原因尚不明确。
第二部分:积分激励方案
简明扼要,用图表和数据说明。
所有数据均在难度5情况下统计得出。
蓝币/赛季币/经验获取方式更新

经过拟合验证,大致符合以下公式
1)分数(x)-蓝币(y)
此处仅展示赛季币未打满时的函数形式,若打满则叠加下方赛季币函数即可。
分数-蓝币函数的系数,也就是获取效率,相比之前提高了大约16%。
赛季货币尚未收集齐全(最新版)

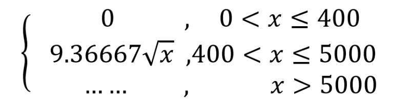
2)分数(x)-赛季币(y)
更新后,5000分以内赛季币获取量显著增加,同比提升约30%,成绩令人振奋。
不过,当分数超过5000之后,赛季币函数的拟合指数迅速下降,变得和经验函数一样抽象,我甚至猜测它可能已转为对数函数,但因数据不足,暂时无法深入验证。
刷蓝币或赛季币时,建议分数控制在5000以内,超出后收益大幅下降。
积分兑换赛季货币(最新版本)

3)分数(x)-经验(y)
当前分数与经验的函数关系仍较抽象,因数据量不足,暂以5000分为界限进行粗略拟合,误差约±1%。
刷经验时分数越高越有利。
在测量约5000分数据时,部分数值出现异常波动,需留意其可靠性。
积分-经验(最新版)

---------- 三.补充说明 -----------
敌军类型(难度五)
普通士兵(绿色标记)
属性通常为6血1金,但在精英将领据点或城内可能遇到高血版本(约36血),但仍算作普通小兵。
绿矛

绿弓

绿骑

绿法

绿炮

精英小兵,又称红兵,是团队中的核心成员,具备出色的执行力和专业技能,能够高效完成任务并推动项目进展。
属性通常为65(左右)血2金,但在精英将领据点或城内会出现血量较高的版本(约120)。
红矛

红弓

红骑

红法

3.精英将领
由于回血技能的存在,血量难以准确测量,只能给出大致范围。
远程攻击掉落170/640,近战210/800,分为第一层和第二层,金币掉落统一为8/11。
张绣

胡轸

徐荣

王方

李儒

4.首领
金币固定掉落44个,首领血量约为2150(无士气加成)。
华雄

李傕

第二层首领因具备回血技能,实际数值较难准确测量,估计约为7650(未计算士气加成),掉落金币数量固定为44。
董卓

其他数据正在陆续测量中
本文属于原创文章,如若转载,请注明来源:元气骑士赛季结算分数机制详解https://game.zol.com.cn/1127/11276907.html





















































































